9.6 KiB
Двомірні матриці
Переміщення
У попередньому розділі ми навчилися створювати деякі фігури — хитрість переміщення цих фігур полягає в тому, щоб перемістити саму систему координат. Ми можемо досягти цього, просто додавши вектор до змінної st, яка містить розташування кожного фрагмента. Це спричиняє зміщення у просторі усієї системи координат.
Це легше побачити, ніж пояснити, тому дивіться самі:
- Розкоментуйте рядок 35 в коді нижче, щоб побачити, як рухається сам простір.
Тепер спробуйте наступне:
- Використовуючи змінну
u_timeразом із функціями формування, надайде хрестику рух у новому цікавому напрямку. Знайдіть конкретний варіант руху, яка вас цікавить, і спробуйте змусити хрест рухатися таким же чином. Спробуйте для початку щось із "реального світу" — це можуть бути хвилеподібні рухи, коливання маятника, м’яч, що підстрибує, прискорення як в автомобіля чи зупинка велосипеда.
Обертання
Щоб обертати об'єкти, нам також потрібно рухати всю систему простору. Для цього ми будемо використовувати матрицю. Матриця — це організований набір чисел у стовпцях і рядках. Вектори помножуються на матриці відповідно до певних правил, щоб змінити значення вектора визначеним чином.
GLSL має вбудовану підтримку дво-, три- та чотиривимірних матриць: mat2 (2x2), mat3 (3x3) та mat4 (4x4). GLSL також підтримує множення матриць (*) та специфічну для матриці функцію (matrixCompMult()).
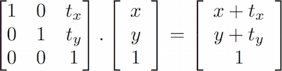
Можна побудувати різні матриці для отримання певної поведінки. Наприклад, ми можемо використати матрицю для переміщення вектора:
Що ще цікавіше, ми можемо використати матрицю для обертання системи координат:
Подивіться на наведений нижче код функції, яка створює двовимірну матрицю обертання. Ця функція відповідає наведеній вище формулі для обертання координат навколо точки vec2(0.0).
mat2 rotate2d(float _angle) {
return mat2(
cos(_angle), -sin(_angle),
sin(_angle), cos(_angle)
);
}
Судячи з того, як ми малювали фігури, це не зовсім те, що нам потрібно. Наша форма хреста намальована в центрі полотна, що відповідає позиції vec2(0.5). Отже, перед тим, як обертати простір, нам потрібно перемістити фігуру із центру до координати vec2(0.0), повернути простір, а потім, нарешті, перемістити його назад у початкове положення.
Це можна запрограмувати таким чином:
Спробуйте наступні вправи:
-
Розкоментуйте рядок 45 із коду вище та зверніть увагу на те, що відбувається.
-
Закоментуйте зміщення координат до та після повороту, у рядках 38 та 42, спостерігаючи за наслідками.
-
Використайте обертання, щоб покращити анімацію, яку ви моделювали під час вправи з переміщенням.
Масштаб
Ми побачили, як матриці використовуються для переміщення та обертання об'єктів у просторі. А точніше, як змінювати системи координат для обертання та переміщення об'єктів. Якщо ви користувалися програмним забезпеченням для 3D-моделювання або функціями push та pop для матриць у Processing, то знаєте, що матриці також можна використовувати й для масштабування розміру об'єктів.
Дотримуючись попередньої формули, ми можемо створити двомірну матрицю масштабування:
mat2 scale(vec2 _scale) {
return mat2(
_scale.x, 0.0,
0.0, _scale.y
);
}
Спробуйте виконати наступні вправи, щоб глибше зрозуміти, як це працює.
-
Розкомментуйте рядок 42 із коду вище, щоб побачити масштабування просторових координат.
-
Подивіться, що відбудеться, коли ви закоментуєте переміщення координат до та після масштабування в рядках 37 та 39.
-
Спробуйте поєднати матрицю обертання разом із матрицею масштабування. Майте на увазі, що порядок має значення. Спочатку помножте на матрицю, а потім результат помножте на вектори.
-
Тепер, коли ви знаєте, як малювати різні фігури, переміщувати, обертати та масштабувати їх, настав час створити гарну композицію. Спроєктуйте та створіть фейковий UI або HUD. HUD (heads up display) — мається на увазі розташування інформації на прозорих поверхнях або дисплеях. Для натхнення та довідки, можете використати наступний ShaderToy-приклад від Ndel.
Інше використання матриць: колір у просторі YUV
YUV — це колірний простір, який використовується для аналогового кодування фотографій та відео, яке враховує діапазон людського сприйняття для зменшення пропускної здатності компонентів колірності.
Наступний код є цікавою можливістю використовувати матричні операції в GLSL для перетворення кольорів з одного простору в інший.
Як бачите, ми розглядаємо кольори як вектори, перемножуючи їх на матриці. Таким чином ми "переміщуємо" значення кольорів.
У цьому розділі ми навчилися використовувати матричні перетворення для переміщення, обертання та масштабування векторів. Ці трансформації будуть корисними для створення композицій із фігур, про які ми дізналися із попереднього розділу. У наступному розділі ми застосуємо всі здобуті знання для створення красивих процедурних візерунків. Ви побачите, що програмування повторень та варіацій може бути захопливою діяльністю.





